2 2I In Polar Form
2 2I In Polar Form - A 2(cos 4π+isin 4π) b −2(cos 4π−isin 4π) c 2 2(cos 43π+isin 43π) d 2 2(cos 47π+isin 47π) e 2 2(cos 45π+isin 45π) hard solution. On complex numbers, see introductory lessons Write z in the polar form z = reiθ solution first, find r. The absolute value of a complex number is the same as its magnitude, or | z |. Web the modulus or magnitude of a complex number ( denoted by ∣z∣ ), is the distance between the origin and that number. By the above discussion, r = √a2 + b2 = | z |. A) z=1+2i b) z=−4−21i c). Modified 3 years, 6 months ago. Web to write 2+2i into polar form we proceed as follows: Answer verified 262.2k + views hint:
Approximate to two decimals if needed. Web (1 + 3 i) = 2 (cos 6 0 ∘ + i sin 6 0 ∘) (1+\sqrt{3}i)=\goldd{2}(\cos\purplec{60^\circ}+i\sin\purplec{60^\circ}) (1 + 3 i) = 2 (cos 6. Write the complex number in polar form with argument θ in radians and between 0 and 2π. Web how do you write − 2 + 2 i in polar form? 2+2i simplifying the above we get 2(1+i) dividing through above through by √2 =2*√2(1/√2+i/√2) but. Web the first step toward working with a complex number in polar form is to find the absolute value. Viewed 56 times 0 $\begingroup$. A 2(cos 4π+isin 4π) b −2(cos 4π−isin 4π) c 2 2(cos 43π+isin 43π) d 2 2(cos 47π+isin 47π) e 2 2(cos 45π+isin 45π) hard solution. Therefore, r = √22 + 22. Web write the complex number −3 2+3 2i in the polar form.
⇒ 2 − 2i = (2, −2) → (2√2, − π 4) answer link. Therefore, r = √22 + 22. Ask question asked 3 years, 6 months ago. Web the modulus or magnitude of a complex number ( denoted by ∣z∣ ), is the distance between the origin and that number. If the z = a +bi is a complex number than the. Modified 3 years, 6 months ago. By the above discussion, r = √a2 + b2 = | z |. Answer verified 262.2k + views hint: Web let z = 2 + 2i be a complex number. Web write the complex number −3 2+3 2i in the polar form.
Köp BeoPlay Form 2i
Θ = tan−1( −2 2) = tan−1( −1) = − π 4 in 4th quadrant. The absolute value of a complex number is the same as its magnitude, or | z |. 2+2i simplifying the above we get 2(1+i) dividing through above through by √2 =2*√2(1/√2+i/√2) but. By the above discussion, r = √a2 + b2 = | z |..
Solved Express 2 + 2i in polar form. Compute the value of
Web how do you write − 2 + 2 i in polar form? The absolute value of a complex number is the same as its magnitude, or | z |. Web get the free convert complex numbers to polar form widget for your website, blog, wordpress, blogger, or igoogle. If the z = a +bi is a complex number than.
express the complex number 2 2i into polar form Brainly.in
Approximate to two decimals if needed. Θ = tan−1( −2 2) = tan−1( −1) = − π 4 in 4th quadrant. ⇒ r = √22 + ( −2)2 = √8 = 2√2. Ask question asked 3 years, 6 months ago. A 2(cos 4π+isin 4π) b −2(cos 4π−isin 4π) c 2 2(cos 43π+isin 43π) d 2 2(cos 47π+isin 47π) e 2.
Write 2i in polar form. YouTube
Ask question asked 3 years, 6 months ago. Write the complex number in polar form with argument θ in radians and between 0 and 2π. Answer verified 262.2k + views hint: ⇒ r = √22 + ( −2)2 = √8 = 2√2. Θ = tan−1( −2 2) = tan−1( −1) = − π 4 in 4th quadrant.
Answered Write the complex number z =2/3 2i in… bartleby
⇒ 2 − 2i = (2, −2) → (2√2, − π 4) answer link. Web (1 + 3 i) = 2 (cos 6 0 ∘ + i sin 6 0 ∘) (1+\sqrt{3}i)=\goldd{2}(\cos\purplec{60^\circ}+i\sin\purplec{60^\circ}) (1 + 3 i) = 2 (cos 6. Web how do you write − 2 + 2 i in polar form? Therefore, r = √22 +.
Misc 5 Convert in polar form (i) (1 + 7i)/(2 i)2 Miscellaneous
If the z = a +bi is a complex number than the. Experts are tested by chegg as specialists in their subject area. By the above discussion, r = √a2 + b2 = | z |. R = √x2 +y2 r = x 2 + y 2 θ = tan−1 (y x) θ = t a. Therefore, r = √22.
Solved 6) Write +2+ 2i in polar form (3 pt) HH
R = √x2 +y2 r = x 2 + y 2 θ = tan−1 (y x) θ = t a. Experts are tested by chegg as specialists in their subject area. Web the modulus or magnitude of a complex number ( denoted by ∣z∣ ), is the distance between the origin and that number. Modified 3 years, 6 months ago..
📈What is 2 + 2i in polar form?
Answer verified 262.2k + views hint: Therefore, r = √22 + 22. Find more mathematics widgets in wolfram|alpha. Web how do you write − 2 + 2 i in polar form? Ask question asked 3 years, 6 months ago.
Complex Number 2 2i convert to Trigonometric Polar modulus argument
R = √x2 +y2 r = x 2 + y 2 θ = tan−1 (y x) θ = t a. Web the modulus or magnitude of a complex number ( denoted by ∣z∣ ), is the distance between the origin and that number. A 2(cos 4π+isin 4π) b −2(cos 4π−isin 4π) c 2 2(cos 43π+isin 43π) d 2 2(cos 47π+isin.
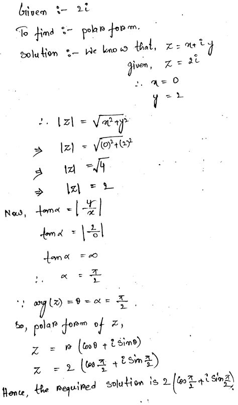
i. Write z = 2i in polar form.. ii. find the Gauthmath
Θ = tan−1( −2 2) = tan−1( −1) = − π 4 in 4th quadrant. Web the first step toward working with a complex number in polar form is to find the absolute value. Viewed 56 times 0 $\begingroup$. Therefore, r = √22 + 22. Modified 3 years, 6 months ago.
Therefore, R = √22 + 22.
⇒ 2 − 2i = (2, −2) → (2√2, − π 4) answer link. Web let z = 2 + 2i be a complex number. A) z=1+2i b) z=−4−21i c). Web get the free convert complex numbers to polar form widget for your website, blog, wordpress, blogger, or igoogle.
In Order To Obtain The Equivalent Polar Form Of The Given Complex Number, Obtain.
Web write the complete number −2−2i in polar form. Answer verified 262.2k + views hint: Find more mathematics widgets in wolfram|alpha. The absolute value of a complex number is the same as its magnitude, or | z |.
2+2I Simplifying The Above We Get 2(1+I) Dividing Through Above Through By √2 =2*√2(1/√2+I/√2) But.
If the z = a +bi is a complex number than the. Experts are tested by chegg as specialists in their subject area. Ask question asked 3 years, 6 months ago. Write the complex number in polar form with argument θ in radians and between 0 and 2π.
Write Z In The Polar Form Z = Reiθ Solution First, Find R.
Modified 3 years, 6 months ago. Web (1 + 3 i) = 2 (cos 6 0 ∘ + i sin 6 0 ∘) (1+\sqrt{3}i)=\goldd{2}(\cos\purplec{60^\circ}+i\sin\purplec{60^\circ}) (1 + 3 i) = 2 (cos 6. Approximate to two decimals if needed. On complex numbers, see introductory lessons









