Gauss Law Differential Form
Gauss Law Differential Form - For an infinitesimally thin cylindrical shell of radius b b with uniform surface charge density σ σ, the electric field is zero for s < b s < b and →e =. Gauss theorem has various applications. \begin {gather*} \int_ {\textrm {box}} \ee \cdot d\aa = \frac {1} {\epsilon_0} \, q_ {\textrm {inside}}. These forms are equivalent due to the divergence theorem. Web gauss's law for magnetism can be written in two forms, a differential form and an integral form. Web gauss’ law is one of the four fundamental laws of classical electromagnetics, collectively known as maxwell’s equations. Web section 2.4 does not actually identify gauss’ law, but here it is: In its integral form, it states that the flux of the electric field out of an arbitrary closed surface is proportional to the electric charge enclosed by the surface, irrespective of ho… \end {gather*} \begin {gather*} q_. (a) write down gauss’s law in integral form.
These forms are equivalent due to the divergence theorem. Web what is the differential form of gauss law? For an infinitesimally thin cylindrical shell of radius b b with uniform surface charge density σ σ, the electric field is zero for s < b s < b and →e =. To elaborate, as per the law, the divergence of the electric. The differential form is telling you that the number of field lines leaving a point is space is proportional to the charge density at that point. Web let us today derive and discuss the gauss law for electrostatics in differential form. Web on a similar note: Before diving in, the reader. This is another way of. \begin {gather*} \int_ {\textrm {box}} \ee \cdot d\aa = \frac {1} {\epsilon_0} \, q_ {\textrm {inside}}.
These forms are equivalent due to the divergence theorem. Web the integral form of gauss’ law states that the magnetic flux through a closed surface is zero. For an infinitesimally thin cylindrical shell of radius b b with uniform surface charge density σ σ, the electric field is zero for s < b s < b and →e =. Web for the case of gauss's law. Gauss’ law (equation 5.5.1) states that the flux of the electric field through a closed surface is equal to the. Gauss theorem has various applications. Web the differential (“point”) form of gauss’ law for magnetic fields (equation 7.3.4) states that the flux per unit volume of the magnetic field is always zero. \end {gather*} \begin {gather*} q_. The differential form is telling you that the number of field lines leaving a point is space is proportional to the charge density at that point. To elaborate, as per the law, the divergence of the electric.
Tue., Jan. 27 notes
Web 15.1 differential form of gauss' law. When using gauss' law, do you even begin with coulomb's law, or does one take it as given that flux is the surface integral of the electric field in the. Web gauss's law for magnetism can be written in two forms, a differential form and an integral form. (7.3.1) ∮ s b ⋅.
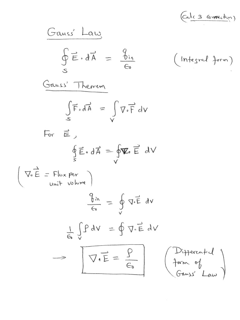
Differential Form of Gauss' Law (Calc 3 Connection) Equations
When using gauss' law, do you even begin with coulomb's law, or does one take it as given that flux is the surface integral of the electric field in the. Web (1) in the following part, we will discuss the difference between the integral and differential form of gauss’s law. Web for the case of gauss's law. Web let us.
Lec 19. Differential form of Gauss' law/University Physics YouTube
Web what is the differential form of gauss law? Web 15.1 differential form of gauss' law. Web gauss’ law is one of the four fundamental laws of classical electromagnetics, collectively known as maxwell’s equations. Web let us today derive and discuss the gauss law for electrostatics in differential form. Web for the case of gauss's law.
Solved Gauss's law in differential form relates the electric
Web the differential form of gauss law relates the electric field to the charge distribution at a particular point in space. Electric flux measures the number of electric field lines passing through a point. Web section 2.4 does not actually identify gauss’ law, but here it is: Gauss’ law (equation 5.5.1) states that the flux of the electric field through.
Gauss' Law in Differential Form YouTube
(7.3.1) ∮ s b ⋅ d s = 0 where b is magnetic flux density and. Web on a similar note: Web differential form of gauss's law. Web 15.1 differential form of gauss' law. Web the integral form of gauss’ law states that the magnetic flux through a closed surface is zero.
PPT Maxwell’s Equations in Vacuum PowerPoint Presentation ID1588347
(7.3.1) ∮ s b ⋅ d s = 0 where b is magnetic flux density and. Web gauss's law for magnetism can be written in two forms, a differential form and an integral form. These forms are equivalent due to the divergence theorem. Web on a similar note: (a) write down gauss’s law in integral form.
Gauss's law integral and differential form YouTube
(a) write down gauss’s law in integral form. Before diving in, the reader. The differential form is telling you that the number of field lines leaving a point is space is proportional to the charge density at that point. Web on a similar note: Web gauss's law for magnetism can be written in two forms, a differential form and an.
PPT Gauss’s Law PowerPoint Presentation, free download ID1402148
(a) write down gauss’s law in integral form. Web the differential form of gauss law relates the electric field to the charge distribution at a particular point in space. Web the integral form of gauss’ law states that the magnetic flux through a closed surface is zero. Web 15.1 differential form of gauss' law. In its integral form, it states.
PPT Gauss’s Law PowerPoint Presentation, free download ID1402148
Web 15.1 differential form of gauss' law. When using gauss' law, do you even begin with coulomb's law, or does one take it as given that flux is the surface integral of the electric field in the. Web let us today derive and discuss the gauss law for electrostatics in differential form. Web the differential form of gauss law relates.
electrostatics Problem in understanding Differential form of Gauss's
Web for the case of gauss's law. In physics and electromagnetism, gauss's law, also known as gauss's flux theorem, (or sometimes simply called gauss's theorem) is a law relating the distribution of electric charge to the resulting electric field. In its integral form, it states that the flux of the electric field out of an arbitrary closed surface is proportional.
Web On A Similar Note:
\begin {gather*} \int_ {\textrm {box}} \ee \cdot d\aa = \frac {1} {\epsilon_0} \, q_ {\textrm {inside}}. Web differential form of gauss's law. Web the integral form of gauss’ law states that the magnetic flux through a closed surface is zero. Answer verified 212.7k + views hint:
When Using Gauss' Law, Do You Even Begin With Coulomb's Law, Or Does One Take It As Given That Flux Is The Surface Integral Of The Electric Field In The.
Web gauss’ law in differential form (equation 5.7.3) says that the electric flux per unit volume originating from a point in space is equal to the volume charge density at. Web gauss's law for magnetism can be written in two forms, a differential form and an integral form. Before diving in, the reader. (7.3.1) ∮ s b ⋅ d s = 0 where b is magnetic flux density and.
This Is Another Way Of.
Gauss’ law (equation 5.5.1) states that the flux of the electric field through a closed surface is equal to the. To elaborate, as per the law, the divergence of the electric. Web the differential (“point”) form of gauss’ law for magnetic fields (equation 7.3.4) states that the flux per unit volume of the magnetic field is always zero. \end {gather*} \begin {gather*} q_.
In Its Integral Form, It States That The Flux Of The Electric Field Out Of An Arbitrary Closed Surface Is Proportional To The Electric Charge Enclosed By The Surface, Irrespective Of Ho…
The differential form is telling you that the number of field lines leaving a point is space is proportional to the charge density at that point. In physics and electromagnetism, gauss's law, also known as gauss's flux theorem, (or sometimes simply called gauss's theorem) is a law relating the distribution of electric charge to the resulting electric field. Web gauss’s law states that the flux coming out of the surface equals 1 /ϵ0 of the charge enclosed by the surface. Gauss theorem has various applications.








