Va Last Will And Testament Form
Va Last Will And Testament Form - A last will and testament or will is a legal document that records how an individual (testator) chooses to distribute property, care for children, and make special wishes after their death. A testator’s estate includes their real and personal property, vehicles, insurance policies, fiduciary accounts. Do wills need to be notarized in virginia? (if yes, see note below. Web veterans can create a will free of charge with goodtrust. However, you might have to pay for lawyer fees, a notary, or legal advice if your assets are more complicated. Web updated march 16, 2023. If there has been or will be an executor or administrator appointed, furnish letters testamentary or letters of. Web virginia last will and testament form author: Web there are several online forms to create a free last will and testament in virginia.
However, you might have to pay for lawyer fees, a notary, or legal advice if your assets are more complicated. Web these important financial services are available to beneficiaries for two years following claim settlement. If no, complete remaining items) note: Web veterans can create a will free of charge with goodtrust. A testator’s estate includes their real and personal property, vehicles, insurance policies, fiduciary accounts. Web there are several online forms to create a free last will and testament in virginia. This includes 40 hours of personal counseling over the two years and access to the program’s online resources. Web a sample virginia last will and testament with examples of each step. A last will and testament or will is a legal document that records how an individual (testator) chooses to distribute property, care for children, and make special wishes after their death. (if yes, see note below.
If no, complete remaining items) note: Web veterans can create a will free of charge with goodtrust. Web virginia last will and testament form author: (if yes, see note below. However, you might have to pay for lawyer fees, a notary, or legal advice if your assets are more complicated. If there has been or will be an executor or administrator appointed, furnish letters testamentary or letters of. Effective april 1, 2021, bfcs is available for two years from the date the claim is paid. Web updated march 16, 2023. Web these important financial services are available to beneficiaries for two years following claim settlement. Web a virginia last will and testament (a will) is a legal document that outlines your wishes related to property distribution after death, such as who will inherit your home, personal belongings, or money.
last will and testament form with gavel Estate Planning Real Estate
If there has been or will be an executor or administrator appointed, furnish letters testamentary or letters of. The questions refer to the veteran or beneficiary: Web there are several online forms to create a free last will and testament in virginia. Web updated march 16, 2023. What you should know about advance directives use this form to learn about.
Last Will And Testament Forms Free Printable Printable Sample Last
Web a sample virginia last will and testament with examples of each step. This includes 40 hours of personal counseling over the two years and access to the program’s online resources. If no, complete remaining items) note: Do wills need to be notarized in virginia? Web there are several online forms to create a free last will and testament in.
Virginia Last Will and Testament Template Download Printable PDF
This includes 40 hours of personal counseling over the two years and access to the program’s online resources. Do wills need to be notarized in virginia? Effective april 1, 2021, bfcs is available for two years from the date the claim is paid. If there has been or will be an executor or administrator appointed, furnish letters testamentary or letters.
Free Printable Last Will And Testament Blank Forms 39 Last Will and
However, you might have to pay for lawyer fees, a notary, or legal advice if your assets are more complicated. If there has been or will be an executor or administrator appointed, furnish letters testamentary or letters of. Web virginia last will and testament form author: Do wills need to be notarized in virginia? Web a sample virginia last will.
Virginia Last Will and Testament Free Template Of Sample Last Will and
Web virginia last will and testament form author: If no, complete remaining items) note: This includes 40 hours of personal counseling over the two years and access to the program’s online resources. (if yes, see note below. Web a virginia last will and testament (a will) is a legal document that outlines your wishes related to property distribution after death,.
Download Florida Last Will And Testament Form for Free FormTemplate
If there has been or will be an executor or administrator appointed, furnish letters testamentary or letters of. What you should know about advance directives use this form to learn about your rights to accept or refuse medical treatment, and to complete a power of attorney for health care or. Web updated march 16, 2023. Do wills need to be.
Virginia Last Will and Testament Free Template Of A Last Will and
(if yes, see note below. Effective april 1, 2021, bfcs is available for two years from the date the claim is paid. This includes 40 hours of personal counseling over the two years and access to the program’s online resources. If no, complete remaining items) note: Web (first, middle, last) 3.
Last Will And Testament Forms Pdf Form Resume Examples 9x8rakBy3d
Do wills need to be notarized in virginia? This includes 40 hours of personal counseling over the two years and access to the program’s online resources. Web a sample virginia last will and testament with examples of each step. Web there are several online forms to create a free last will and testament in virginia. However, you might have to.
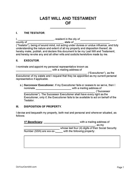
Download Virginia Last Will And Testament Form for Free FormTemplate
If no, complete remaining items) note: What you should know about advance directives use this form to learn about your rights to accept or refuse medical treatment, and to complete a power of attorney for health care or. Web these important financial services are available to beneficiaries for two years following claim settlement. A last will and testament or will.
Last will and testament form in Word and Pdf formats page 2 of 2
Web updated march 16, 2023. However, you might have to pay for lawyer fees, a notary, or legal advice if your assets are more complicated. Web virginia last will and testament form author: Web a virginia last will and testament (a will) is a legal document that outlines your wishes related to property distribution after death, such as who will.
If No, Complete Remaining Items) Note:
Web a virginia last will and testament (a will) is a legal document that outlines your wishes related to property distribution after death, such as who will inherit your home, personal belongings, or money. (if yes, see note below. The questions refer to the veteran or beneficiary: A testator’s estate includes their real and personal property, vehicles, insurance policies, fiduciary accounts.
This Includes 40 Hours Of Personal Counseling Over The Two Years And Access To The Program’s Online Resources.
Web virginia last will and testament form author: However, you might have to pay for lawyer fees, a notary, or legal advice if your assets are more complicated. Web these important financial services are available to beneficiaries for two years following claim settlement. A last will and testament or will is a legal document that records how an individual (testator) chooses to distribute property, care for children, and make special wishes after their death.
Web Updated March 16, 2023.
Web there are several online forms to create a free last will and testament in virginia. Web a sample virginia last will and testament with examples of each step. Do wills need to be notarized in virginia? Effective april 1, 2021, bfcs is available for two years from the date the claim is paid.
Web (First, Middle, Last) 3.
Web veterans can create a will free of charge with goodtrust. What you should know about advance directives use this form to learn about your rights to accept or refuse medical treatment, and to complete a power of attorney for health care or. If there has been or will be an executor or administrator appointed, furnish letters testamentary or letters of.









